Упр.12.2 ГДЗ Мордкович 7 класс (Алгебра)
Решение #1

Рассмотрим вариант решения задания из учебника Мордкович, Александрова 7 класс, Мнемозина:
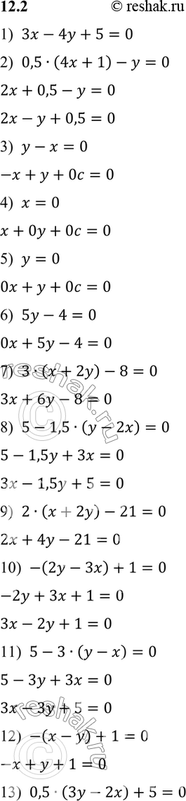
Приведите левые части следующих уравнений к виду ах + by + с
а) Запишите ряд данных, состоящий из коэффициентов при переменной х.
б) Найдите объём и размах полученного ряда данных.
в) Составьте упорядоченный ряд данных и найдите его медиану.
г) Чему равна мода? Сколько раз она встретилась в ряде данных?
д) Сколько раз встретилось число -1, число 0, число 1, число 2?
е) Составьте таблицу распределения полученных данных.
ж) Сложите все числа во второй строке таблицы распределения. Объясните, почему ответ совпал с объёмом ряда данных.
з) Может ли во второй строке какой-либо таблицы распределения данных стоять число 0?
Десять спортсменов соревновались в прыжках в высоту, в длину,
вправо и влево. Вот какие места они заняли:
Высота Длина Вправо Влево Сумма
Вова 5 3 8 2
Вася 9 8 3 7
Витя 8 9 7 3
Валера 1 4 5 8
Веня 3 2 2 10
Виталик 7 7 4 9
Вадик 4 1 9 4
Владик 10 10 1 5
Внтас 2 5 10 1
Ваня 6 6 6 6
*размещая тексты в комментариях ниже, вы автоматически соглашаетесь с пользовательским соглашением