Упр.649 ГДЗ Колягин Ткачёва 10 класс (Алгебра)
Решение #1
Решение #2

Рассмотрим вариант решения задания из учебника Колягин, Ткачёва, Фёдорова 10 класс, Просвещение:
Решить уравнение (649—650).
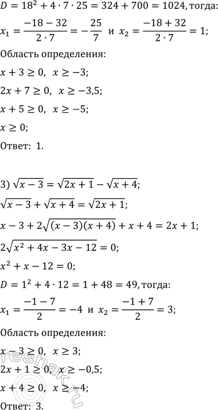
649.
1) v(x-4)=v(x-3)-v(2x-1)
2) 2v(x+3)-v(2x+7)=vx
3) v(x-3)=v(2x+1)-v(x+4)
4) v(9-2x)=2v(4-x)-v(1-x)
*размещая тексты в комментариях ниже, вы автоматически соглашаетесь с пользовательским соглашением