Упр.176 ГДЗ Колягин Ткачёва 7 класс (Алгебра)
Решение #1

Рассмотрим вариант решения задания из учебника Колягин, Ткачёва, Фёдорова 7 класс, Просвещение:
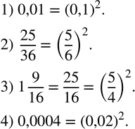
176. Записать в виде степени с показателем 2:
1) 0,01;
2) 25/36;
3) 1 9/16;
4) 0,0004.
*размещая тексты в комментариях ниже, вы автоматически соглашаетесь с пользовательским соглашением