Упр.15.14 ГДЗ Мерзляк 10 класс Базовый уровень (Алгебра)
Решение #1

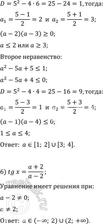
Рассмотрим вариант решения задания из учебника Мерзляк, Номировский, Полонский 10 класс, Вентана-Граф:
15.14. При каких значениях a возможно равенство:
1) cos x=a+3; 3) cos x=a^2-1; 5) cos x=a^2-5a+5;
2) sin x=a^2+1; 4) sin x=a^2-a-1; 6) tg x=(a+2)/(a-2)?
*размещая тексты в комментариях ниже, вы автоматически соглашаетесь с пользовательским соглашением