Упр.14.10 ГДЗ Мерзляк 11 класс Углубленный уровень (Алгебра)
Решение #1

Рассмотрим вариант решения задания из учебника Мерзляк, Номировский, Поляков 11 класс, Вентана-Граф, Просвещение:
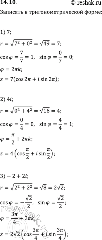
14.10. Запишите в тригонометрической форме комплексное число:
1) 7; 3) -2+2i; 5) -1+2i; 7) (3-2i)^2;
2) 4i; 4) v3+i; 6) -3-i; 8) (2+i)/(1+i).
*размещая тексты в комментариях ниже, вы автоматически соглашаетесь с пользовательским соглашением